Derivation of various formulas for electromagnetic waves (in the case of absorbing media)
*This article is a continuation of the link below (hereafter referred to as the first part), and the equations (1) to (9) shown in this article refer to the equations in the first part.
-
Equation for electromagnetic waves in absorbing media
From the previous parts (2)-①, (2)-③, and (1)-④, the equation for electromagnetic waves can be expressed as follows.

Therefore,

Here, the refractive index n is expanded to a complex number, which allows us to express the effect of absorption by the medium mathematically.
In (10)-①, the refractive index n is replaced with the complex refractive index shown below.
Here, κ is called the extinction coefficient.
At this time,

Therefore, if the light intensity is I,

Here, the absorption coefficient α is defined as follows:

Applying this,

This means that the light intensity attenuates exponentially with respect to ek・r , and 1/α represents the depth in the direction of light wave propagation from r = 0 until the light intensity becomes 1/e times. This depth is called the absorption length and is used as a guide to the depth that light can penetrate.

Furthermore, (10)-⑥ can be illustrated spatially as follows:

Here, for the sake of simplicity, ekz =0.
-
Application of Snell's law to absorbing media
The refractive index of medium 1 is n1, and the refractive index of medium 2 is n2. Also, with respect to the interface between medium 1 and medium 2, the incident angle from medium 1 is θ, and the outgoing angle to medium 2 is ξ.

From Snell's law derived in (4)-⑦-2 and (5)-⑦-2 in the previous chapter,
Here, if medium 2 is an absorbing medium, the effect of absorption by medium 2 can be expressed mathematically by replacing the refractive index n2 with the complex refractive index below, as in (10)-②.
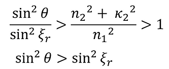
In this case, since the right-hand side of (4) and (5)-⑦-2 is a real number, ξ must also be a complex number to satisfy the equation. This can be expressed as follows.
Here, the range of values for each parameter is determined as follows:

Replacing n2 and ξ in (4),(5)-⑦-2 with (11)-①-1,2 respectively and rearranging the equation gives the following:

Here, from (11)-①-3 and (11)-②,
[ i ] When θ = 0,
ξr = ξi = 0
[ ii ] When θ ≠ 0,
Since ξr ≠ 0 and ξi ≠ 0,
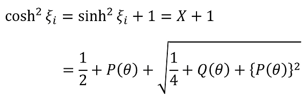
・Derivation of ξi :
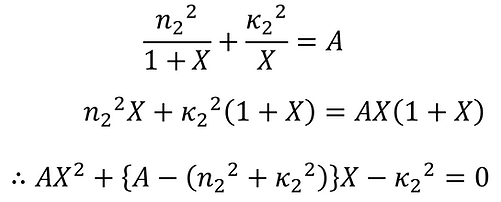
Transforming (11)-② gives us :

Here, the following is set:

Applying this to the above equation,

Since X > 0, A > 0,

Here, we put it as follows:
