・エリプソメトリーの定義式の導出
・吸収媒質におけるp偏光・s偏光の振幅反射率(おさらい)
まず、エリプソメトリーの前提となる、媒質での吸収を加味した、p偏光とs偏光の振幅反射率について、おさら いをする。導出過程は(EM2)で示しているので、ここでは結果のみを示す。
媒質1から媒質2への光線の入射を考える。但し、媒質2での吸収を加味する。このとき、媒質1、媒質2の屈折率をそれぞれ以下のように置く(但し、媒質2の屈折率は複素数とする)。
媒質1の屈折率: n1
媒質2の屈折率: n2+jκ2
また、このとき、入射角と出射角を以下のように置く(但し、出射角は複素数とする)。
入射角: θ
出射角: ξr+jξi
図示すると以下のようになる。

このとき、媒質2での吸収を加味したスネルの法則は以下のように表される。

但し、



これをξr, ξi について解いてθの関数として表すと、以下のようになる(導出過程は(EM2)を参照)。

… (EM2)-(11)-③-5,7, (EM2)-(11)-④-5,7

… (EM2)-(11)-③-2a,b
このとき、n2>n1において、p偏光とs偏光の振幅反射率は、振幅の絶対値と位相に分けて、以下のように表される(導出過程は(EM2)を参照)。


但し、arctan の値域は、-π/2 より大きく π/2 未満とする。
・エリプソメトリーパラメータの定義
(EM2)-(12)-②-2, (EM2)-(12)-③-2を適用することで、エリプソメトリーで定義されるフレネル振幅反射係数比ρは、位相差Δと振幅比角ψ(これらをエリプソメトリーパラメータと呼ぶ)を用いて、以下のように表される。

※物理学の分野と光学の分野では、それぞれの慣習により、位相の符号の定義が異なる。これについては(SG)を参照のこと。
但し、位相差Δの定義域を、0≤Δ≤2πとする。(1)-①-2の値がこれを外れた際には、2mπ(mは整数)を加算して定義域に入るようにmの値を選べばよい。
例として、n=1.44, κ=5.23 のとき、θを変数として ψ, Δを計算すると以下のようになる。


・エリプソメトリーにおけるp,s偏光の電界ベクトルの記述と図示
ここで、改めて電磁波の式について振り返る。入射光のp,s偏光の電界ベクトルをそれぞれEip, Eis、入射光のp,s偏光の電界振幅ベクトルをそれぞれEAip, EAis、入射光の波数ベクトルを ki としたとき、(EM1)-(2)-①より、これらの関係は以下のように表される。

ここで、入射光のp,s偏光の電界振幅ベクトルの単位ベクトルを以下のように定義する。

このとき、(1)-②-1,2は以下のように書き換わる。

同様に、反射光のp,s偏光の電界ベクトルをそれぞれErp, Ers、反射光のp,s偏光の電界振幅ベクトルをそれぞれEArp, EArs、反射光の波数ベクトルを kr としたとき、(EM1)-(2)-①より、これらの関係は以下のように表される。

ここで、反射光のp,s偏光の電界振幅ベクトルの単位ベクトルを以下のように定義する。


ここで、エリプソメトリーにおいては、入射光を以下のように設定する。


(1)-④-1,2は、(1)-⑧を適用すると以下のように書き換わる。

これは即ち、p軸(またはs軸)に対しπ/4(45°)だけ傾いた直線偏光である。この状態は、単色エリプソメトリーでは直線偏光のレーザを用いることで、また、分光エリプソメトリーでは白色光を偏光子に通すことで、実現できる。

よって、p偏光は時間軸で見た場合はs偏光に対しΔ/ω進んでいる。
以上を踏まえ、時間軸においてψとΔは以下のように図示できる。

ここで、入射光の電界については、(1)-⑧の条件に加え、絶対値を1に規格化して示した。
このように、直線偏光の入射光に対し、反射で位相差Δが生じることで、反射光は一般的に楕円偏光となる。
Δの値に応じて偏光は下図のように変化する。Δ=0,πでは直線偏光で、それ以外では楕円偏光となるが、Δ=0,πの前後で右回りと左回りの向きが反転する。

更に、(1)-⑪-1a,2a はそれぞれ、以下のように表すこともできる。

よって、p偏光は空間軸で見た場合はs偏光に対しΔ/kr遅れている。
以上を踏まえて、空間軸においてψとΔは以下のように図示できる。

ここでも、入射光の電界については、(1)-⑧の条件に加え、絶対値を1に規格化して示した。
・バルクサンプルの屈折率測定
・エリプソメトリーパラメータを用いたバルクサンプル複素屈折率の表記
媒質1から、半無限遠の厚さをもつ吸収媒質2へ光が入射する場合を考える。このとき、エリプソメトリーの測定から媒質2の屈折率(複素数)を求めることができるので、その原理について示していく。
まず、吸収のない媒質における振幅反射率を以下に示す(導出は(EM1)を参照)。

ここでも、媒質2の屈折率n2と出射角度ξを以下の複素数に置き換える。

このとき、(EM1)-(4)-⑨aと(EM1)-(5)-⑨bは以下のようになる。

このとき、(1)-①で定義したフレネル振幅反射係数比ρは、以下のように表される。

ここで、媒質1,2の屈折率比と、媒質界面における入射角・出射角の余弦比を、以下のように置く。

これを(2)-②へ代入すると、以下のようになる。

ここで、スネルの法則より、以下のことが言える。

ここでも、媒質2の屈折率n2と出射角度ξを以下の複素数に置き換える。

このとき、(EM1)-(4)-⑦-2、(EM1)-(5)-⑦-2は、以下のようになる。

よって、三角関数の公式は複素数でも成り立つことが知られているので、(EM2)-(11)-②を適用すると、出射角の余弦は以下のように変形できる。

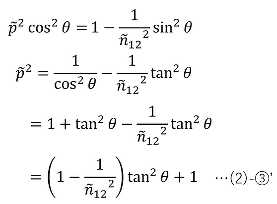
ここで、(2)-④を代入すると以下のようになる。

これを(2)-②'へ代入すると、以下のようにpを求めることができる。

更にこれを(2)-②'へ代入すると、以下のように屈折率比を求めることができる。

よって、最終的に、以下のように媒質2の屈折率(複素数)が求まる。

・実部と虚部の分離
ここから、(2)-⑤'を実部と虚部に分けていく。
まず、(1)-①で定義したρを実部と虚部に分けると、以下のようになる。

ここで、以下のように置く。

これを用いると、(2)-⑥は以下のように表すことができる。

これを適用して、以下の式を変形して実部と虚部に分ける。

ここで、以下のように置く。

これを用いると、(2)-⑦は以下のように表すことができる。

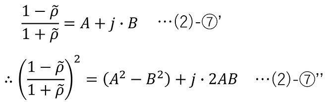
(2)-⑤'を二乗したあと、(2)-⑦''を適用し、変形して実部と虚部に分けると以下のようになる。

ここで、以下のように置く。

これを用いると、(2)-⑨は以下のように表すことができる。

ここで、媒質2の複素屈折率は以下のように定義していた。

但し、n2>0 ( (EM2)-(11)-①-3 より)
よって、複素数の平方根の公式を適用して、以下の解が得られる。

但し、sgn(D)は符号関数で、以下の性質を持つ。
