Astigmatism of a spherical mirror caused by oblique ray incidence and its correction
Consider a system in which light is reflected obliquely by a spherical mirror as shown below. In this case, the focal length in the sagittal direction (red line) is r/(2cosθ), and the focal length in the tangential direction (blue line) is (r cosθ)/2 (in the paraxial region), resulting in large astigmatism.

Below, we will consider the reasons for this.
table of contents:
-
Derivation of the focal length of the tangential component
First, as shown below, consider only the tangential component in a system where light is reflected obliquely by a spherical mirror.

Here, dθ and dψ are assumed to be infinitesimal quantities, and cos dθ = 1 and sin dθ = dθ are assumed to hold.
The conditions shown in the figure can be expressed as follows:

From Law of Sines,

Therefore, it was shown that the focal length in the tangential direction is (r cos θ)/2.
-
Derivation of the focal length of the sagittal component
Next, as shown below, consider only the sagittal component in a system where light is reflected obliquely by a mirror.

Here, vector i is the direction vector of the incident light, vector j is the direction vector of the reflected light, and vector n is the normal vector of the reflecting surface.
The angle dφ is assumed to be very small.
Each direction vector is expressed as follows:

Substituting ① and ② into ③,

Moreover, the vectors between each point are expressed as follows:

Here, k is a positive real number,

If we substitute ③' and ⑥ into this and compare the y components, we get

Substituting ③' and ⑧ into ⑦, we get

Compare this with ⑥

Therefore, from ⑤,

Here, since d𝜑 is an infinitesimal quantity, cos d𝜑 ≅ 1,

Therefore, it was shown that the focal length in sagittal direction is r/(2cosθ).
-
Toroidal surface shape for astigmatism correction
So far, we have treated the reflecting surface as a spherical surface, but here we consider a toroidal surface, which has a shape with different radii of curvature in the tangential and sagittal directions.
The toroidal surface can be illustrated as follows:

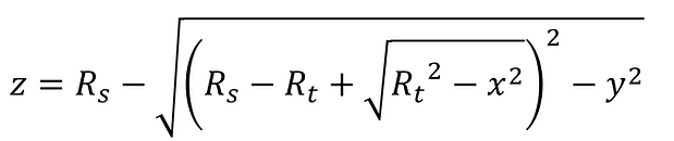
In this case, the shape of the toroidal surface can be expressed by the following formula [1] [2]:

where:
Tangential radius of curvature: R t = r/cosθ
Sagittal radius of curvature: R s = r cosθ
Then, the focal length in both the tangential and sagittal directions is r/2, which is the same, and astigmatism can be eliminated.
However, the aberration that occurs when light is incident obliquely on a spherical mirror is not just astigmatism; coma aberration also becomes a problem. One way to correct this is to use multiple mirrors to cancel out the coma aberration that occurs in each mirror. Czerny-Turner spectrometers are designed based on this concept.
-
References
-
Related literature
[A] Born, M. & Wolf, E., Principles of Optics, Cambridge University Press.
-
Update History
-
2025-09 Significantly revised the diagram explaining tangential components.
-
2025-09 Added "Toroidal surface shape for astigmatism correction"
-
2025-04 Newly released on 2025-04